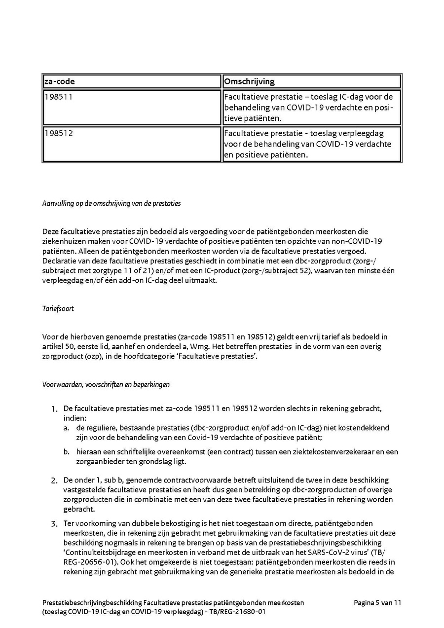
TB/REG-21680-01
Uit normenkaderzorg.nl
Naar navigatie springen
Naar zoeken springen
page1
page2
page3
page4
page5
page6
page7
page8
page9
page10
page11
Navigatiemenu
Persoonlijke hulpmiddelen
Aanmelden
Naamruimten
Pagina
Overleg
Nederlands
Weergaven
Lezen
Brontekst bekijken
Geschiedenis weergeven
Meer
Zoeken
Navigatie
Hoofdpagina
Ziekenhuizen
AI - Beoordeling Tekstverslagen
RPA - Automatisering zorgregistratie
Digitale Assistent Zorgverlener
Horizontaal Toezicht
Volledigheid
Rechtmatigheid
Handreiking
DOT Controleregels 2025
Robijn
Stuurmodel Medisch Specialisten
Passende Zorg
Productiewaarde
GGZ
AI - Automatisering Zorgregistratie
RPA - Automatisering Zorgregistratie
Rechtmatigheid ZPM
Volledigheid ZPM
FAQ – ZPM Stuurinformatie
Forensische Zorg
Horizontaal Toezicht
ZPM Omzetprognose en Afsprakenmonitor
Jeugdwet
WMO
WLZ
VVT en GHZ
Volledigheid
Productie-verantwoording
Rechtmatigheid
Marktoverstijgend
Stuurinformatie op Financiën
Stuurinformatie op Personeel
Personeel & Financiën
Over ValueCare
ValueCare website
Vacatures bij ValueCare
Aanmelden Nieuwsflits
Contact
Hulpmiddelen
Verwijzingen naar deze pagina
Gerelateerde wijzigingen
Permanente koppeling
Paginagegevens
Speciale pagina's
Afdrukken/exporteren
Boek aanmaken
Downloaden als PDF
Afdrukversie